Chemical Engineering
Fluid Mechanics - Dynamics of Fluid Flow
Experiments
Aim
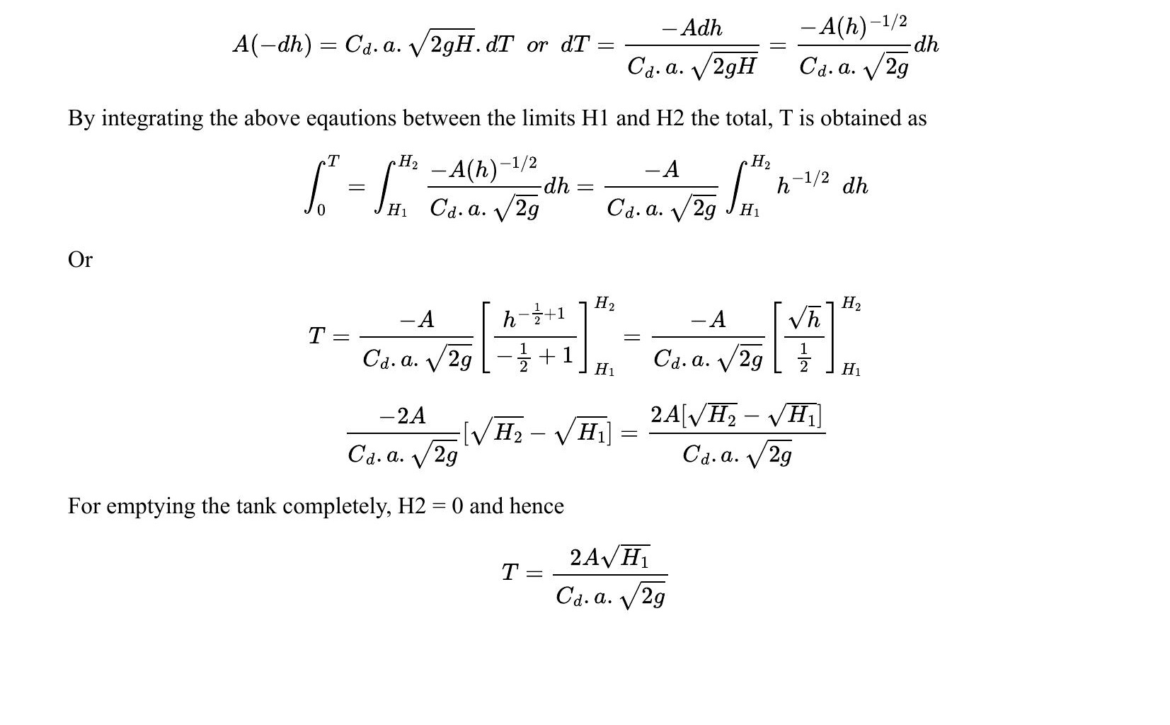
Theory
Pretest
Procedure
Simulation
Posttest
References
Contributors
Feedback
Aim
Theory
Pretest
Procedure
Simulation
Posttest
References
Contributors
Feedback
Dynamics of Fluid Flow: Flow through orifice at the bottom of the tank